Quantitative Biology & Systems Modeling

Sherry Yang — regression, metabolic networks, ODEs, epidemics & tumor microenvironment

View projects All figures
Tumor growth under different drug doses (D=0, 45, 60)

Project 1 — Regression & model comparison

Linear, quadratic, and exponential fits to time-series data; R² and least-squares. Applied to biomass and growth curves.

  • Least squares
  • Model selection
Regression: linear, quadratic, exponential fits
Figure 5 Exponential fit Linear fit Quadratic fit Regression combined

Project 2 — Flux balance analysis

Maximize biomass subject to stoichiometric balance S·v = 0. E. coli core–style metabolism; aerobic vs anaerobic and knockout sensitivity.

  • Linear programming
  • Stoichiometric matrix
  • FBA
Flux balance analysis: knockout sensitivity
FBA knockouts

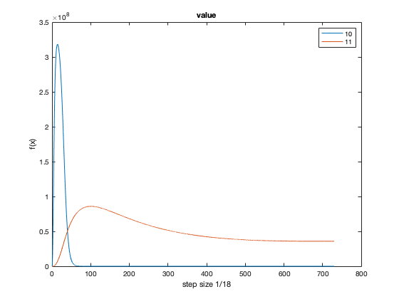
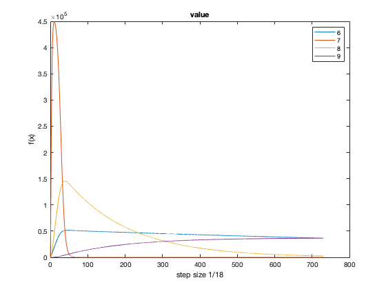
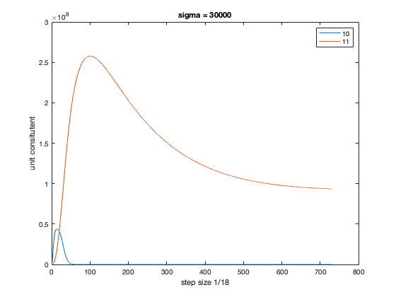
Project 3 — Tumor growth ODE

Multi-compartment tumor model with drug PK. Runge–Kutta integration; tumor weight vs time under different doses.

  • ODE systems
  • RK4 / numerical integration
  • Pharmacokinetics
Tumor growth under different drug doses
Tumor growth summary Figure 3 Figure 4 Figure 5 Figure 6 Figure 8 Figure 9 Figure 10 Figure 11 Figure 12 Figure 13 Figure 14 Figure 15 Figure 16 Figure 17 Figure 18 Figure 19 Figure 20 Figure 21 Figure 22 Figure 23 Figure 24 Figure 25 Figure 26 Figure 27 Figure 28

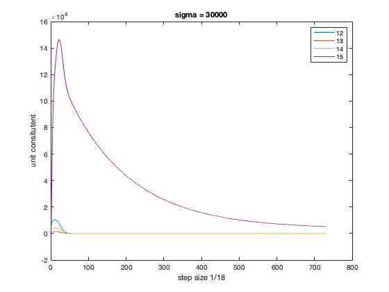
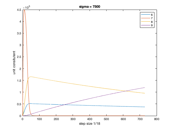
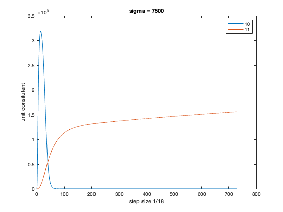
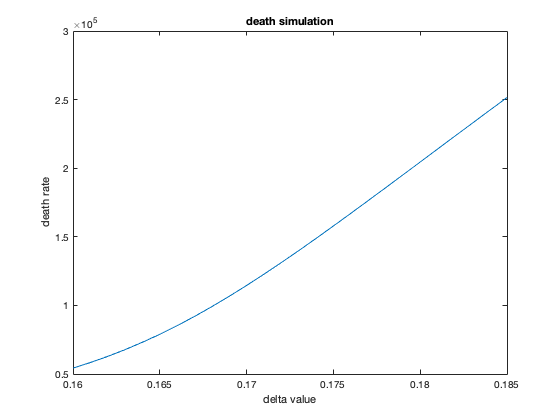
Project 4 — COVID-19 compartmental model

SEIR-type dynamics: S, E, A, I, H, R, D. R₀ and intervention (contact reduction); hospitalization and cumulative deaths.

  • Epidemic modeling
  • R₀
  • Compartments
COVID-19 model: compartments, deaths, cases, hospitalizations
Figure 4 Figure 5 Figure 7 Figure 9 Figure 11 Figure 12 Figure 13 Figure 14 Figure 15 Compartments over time COVID baseline 4-panel Effect of contact reduction

Project 5 — Tumor microenvironment

Spatial layout of cancer cells, effector T cells, and macrophages. Parameter R2 (outer radius) tunes immune cell distribution to capture different TME phenotypes.

  • Spatial modeling
  • Immune infiltration
  • Parameterized geometry
TME: cancer core and immune annulus
TME R2 comparison TME single Figure 3 Figure 4 Figure 5 Figure 6 Figure 7 Figure 8 Figure 9 Figure 10 Figure 11